| 产品名称: |
戊唑醇 |
| 别 名: |
立克秀
|
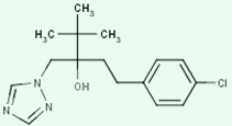
| 化学名称: |
1-(4-氯苯基)-4,4-二甲基-3-(1H-1,2,4-三唑-1-基甲基)-3-戊醇
|
| CAS 号 : |
107534-96-3 |
| 分 子 式 : |
C16H22ClN3O
|
| 化学结构 : |
 |
| 理化性质 : |
外观和性状 无色至浅褐色粉末。 熔点 105℃。 密度 1.25 (26℃)。 溶解性 水中 36 mg/l (pH 5-9, 20℃). 二氯甲烷中 >200, 异丙醇中, 甲苯中 50-100, 正己烷中 <0.1 ( g/l, 20℃)。
|
| 毒 性 : |
急性经口 LD50 4000mg/kg(雄鼠), 1700mg/kg(雌鼠)。 大鼠急性经皮 LD50 >5000 mg/kg。 对皮肤无刺激,对眼睛轻微刺激(兔), 大鼠急性吸入LC50(4h) 0.37 mg/l,空气。
|
| 产品用途 : |
三唑类杀菌剂,是甾醇脱早基抑制剂,是用于重要经济作物的种子处理或面喷洒的高效杀菌剂,可有效地防治禾谷类作物的多种锈病、网斑病、根腐病、赤霉病,黑穗病及种传轮斑病等。
|
| 质量指标 : |
性状: 白色至浅黄色粉末,无可见外来杂质; 有效成分含量 (w/w): ≥97%; 水分 (w/w): ≤0.5%; pH 范围: 5.8~6.6; 丙酮中不溶物 (w/w): ≤0.2%
|
| 执行标准 : |
GB22602-2008 |
| 包 装: |
25公斤/纸板桶 |
| 剂 型: |
80%WP; 250g/L EC/EW; 430g/L SC; 60g/L, 120g/L FS |
| 注 意: |
储存于密闭容器中,置于通风干燥处。 |
|